Rtlnkeq - Solving Problems Using Relationship Dg Nfe Cell Rt Ln Keq Youtube / The nervous system special topic.

Rtlnkeq - Solving Problems Using Relationship Dg Nfe Cell Rt Ln Keq Youtube / The nervous system special topic.. Nfe° =rtlnkeq (which can be rearranged to) 12.8: It is a thermodynamic property that was defined in 1876 by josiah willard gibbs to predict whether a process will occur spontaneously at constant temperature and pressure. The delta g^0 or mu^0 in the formulas we are talking about refer to standard concentrations but not to some standard temperature but to the actual temperature. ∆g° = ‐rtlnkeq le châtelier's principle: When the respective concentrations of c and d are 0.9.

Gibbs free energy g is defined as Substituting this into the expressions for and above, we obtain the result: We will discuss the reaction more in krebs cycle If we know the standard state free energy change, g o, for a chemical process at some temperature t, we can calculate the equilibrium constant for the process at that temperature using the relationship between g o and k. No need to memorize the reaction catalyzed by citrate synthase for now.

Ppt Chapter 19 Spontaneous Change Entropy And Gibbs Energy Powerpoint Presentation Id 4174538
Ppt Chapter 19 Spontaneous Change Entropy And Gibbs Energy Powerpoint Presentation Id 4174538 from image2.slideserve.com
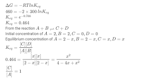
This video took me weeks to do, calling friends and reading the text book i used as a kid. B) g‡ c) g° d) h. The nervous system special topic. Enzymes accelerate the forward and reverse reactions to the same extent. 2.3030log (x) = ln (x). Since the keq value is calculated by products/reactants, the higher the keq value, the more the products are favoured. 270 and the reaction proceed in the reverse y the reaction c=d has a kea = 0.1. The delta g^0 or mu^0 in the formulas we are talking about refer to standard concentrations but not to some standard temperature but to the actual temperature.

Where the reaction quotient is defined as.

Delta gnot is the gibbs free energy in standard conditions. The temperature above which ag 2 o decomposes in an atmosphere containing oxygen at a partial pressure 𝑝𝑂2 = 0.3 atm is (in k to one decimal place). 4ag(s, pure) + o 2 (g) 2ag 2 o(s, pure), the standard enthalpy change, ∆𝐻 0 = − 61080 j, and the standard entropy change, ∆𝑆 0 = − 132.22 j k −1, in the temperature range from 298 k to 500 k. Since the keq value is calculated by products/reactants, the higher the keq value, the more the products are favoured. The mcat (medical college admission test) is offered by the aamc and is a required exam for admission to medical schools in the usa and canada. Enzymes accelerate the forward and reverse reactions to the same extent. E) none of the above. The nervous system special topic. ∆g° = ‐rtlnkeq le châtelier's principle: You must convert your standard free energy value into joules by multiplying the kj value by 1000. Standard potentials and equilibrium constants a note on k values the triangle of free energy calculating keq from electrochemical data the nernst equation the nernst equation the nernst equation the nernst equation special topic: And impose the standard state, we get. When the respective concentrations of c and d are 0.9.

The #1 social media platform for mcat advice. Calculating an equilibrium constant from the free energy change. If we know the standard state free energy change, g o, for a chemical process at some temperature t, we can calculate the equilibrium constant for the process at that temperature using the relationship between g o and k. E) none of the above. My first thought was to convert pka to keq, but i dont know how to do this.

Solved In General Chemistry We Learned That The Equilibri Chegg Com
Solved In General Chemistry We Learned That The Equilibri Chegg Com from media.cheggcdn.com
Thats when you use the other formula. When the respective concentrations of c and d are 0.9. 2.3030 is the conversion between log and natural log, i.e. • if a system is disturbed by a change in temperature, pressure, or concentration of one of the components, the system will shift its equilibrium position so as to counteract the effect of the Break down fuel molecules to generate energy. Delta g on the other hand is the gibbs free energy at any given time, given the current ratio of products to reactants. The delta g^0 or mu^0 in the formulas we are talking about refer to standard concentrations but not to some standard temperature but to the actual temperature. /r/mcat is a place for mcat practice, questions, discussion, advice, social networking, news, study tips and more.

We will discuss the reaction more in krebs cycle

Break down fuel molecules to generate energy. ∆g° = ‐rtlnkeq le châtelier's principle: In fact, if it were not for the constant factor of 2.3 rt, ag could be called pkeq. The greater the e° cell of a reaction the greater the driving force of electrons through the system, the more likely the reaction will proceed (more spontaneous). Solving problems involving δg = δg° + rt ln q Standard potentials and equilibrium constants a note on k values the triangle of free energy calculating keq from electrochemical data the nernst equation the nernst equation the nernst equation the nernst equation special topic: Previous question next question transcribed image text from this question. The delta g^0 or mu^0 in the formulas we are talking about refer to standard concentrations but not to some standard temperature but to the actual temperature. Nfe° =rtlnkeq (which can be rearranged to) 12.8: Delta g on the other hand is the gibbs free energy at any given time, given the current ratio of products to reactants. We will discuss the reaction more in krebs cycle The products are least favoured when the keq value is the lowest it can be. At equilibrium, the gibbs free energy, g', is:

Handbook of surfaces and interfaces of materials, 2001. Assume a temperature of 37°c. When the respective concentrations of c and d are 0.9. Gibbs free energy g is defined as The chemical energy of a system is known as the gibbs energy and is denoted by g.

2
2 from
No need to memorize the reaction catalyzed by citrate synthase for now. The chemical energy of a system is known as the gibbs energy and is denoted by g. ∆g° = ‐rtlnkeq le châtelier's principle: Break down fuel molecules to generate energy. Where is the thermodynamic activity of species. (b) what is the equilibrium constant for this reaction? Thats when you use the other formula. However, they can be calculated from the corresponding values at standard temperature using van't hoff equation or similar relations.

Nfe° =rtlnkeq (which can be rearranged to) 12.8:

I wonder if our book just gave us numbers to exemplify which ionization's are favorable, an which are not. The nervous system special topic: Assume a temperature of 37°c. Where is the thermodynamic activity of species. Where the reaction quotient is defined as. `deltag^o` is the gibbs free energy. Given that the change in free energy ( delta g) is related to the concentrations of reactants and products at the start of a reaction, one would need to calculate the delta g for every possible condition. The temperature above which ag 2 o decomposes in an atmosphere containing oxygen at a partial pressure 𝑝𝑂2 = 0.3 atm is (in k to one decimal place). 4ag(s, pure) + o 2 (g) 2ag 2 o(s, pure), the standard enthalpy change, ∆𝐻 0 = − 61080 j, and the standard entropy change, ∆𝑆 0 = − 132.22 j k −1, in the temperature range from 298 k to 500 k. Nfe° =rtlnkeq (which can be rearranged to) 12.8: When equilibrium is reached, we necessarily have (see the discussion above). The #1 social media platform for mcat advice. When the respective concentrations of c and d are 0.9.

Given that the change in free energy ( delta g) is related to the concentrations of reactants and products at the start of a reaction, one would need to calculate the delta g for every possible condition rtlnk. (b) what is the equilibrium constant for this reaction?

Comments